Zadanie

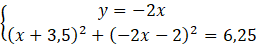
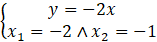
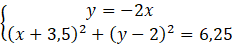
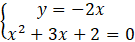
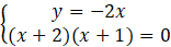
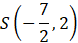
W tym zadaniu musisz rozwiązać przykład 5., wyznaczając punkty i . Aby to zrobić, wyznacz obraz prostej w symetrii względem osi OY, a następnie oblicz współrzędne punktów wspólnych okręgu i prostej .

Rozwiązanie

Wyjaśnienie

Zadania z tego działu
Geometria analityczna
182
Pole trójkąta. Pole wielokąta
198