Czworokąt ABCD będzie prostokątem gdy:
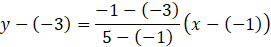
Wyznaczam równanie prostej AB:
Równanie prostej AB:
Wyznaczam równanie prostej BC:
Równanie prostej BC:
Iloczyn współczynników prostych AB i BC jest równy -1, a więc te proste są prostopadłe.
Wyznaczam równanie prostej CD:
Równanie prostej CD:
Wyznaczam równanie prostej AD:
Równanie prostej AD:
Iloczyn współczynników prostych CD i AD jest równy -1, a więc te proste są prostopadłe.
Obliczam długości boków:
Wszystkie boki są równe.
A więc czworokąt ABCD jest kwadratem, co należało wykazać.
Mając współrzędne punktów, wyznacz równania kierunkowe prostych, a następnie zauważ, że iloczyn współczynników sąsiednich prostych, jest równy -1, oznacza to, że proste są prostopadłe. Oblicz długości kolejnych boków czworokąta, zauważ, że wszystkie boki mają tę samą długość, co oznacza, że czworokąt ten jest kwadratem.