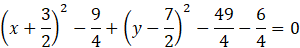
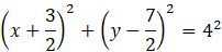
I sposób
Współrzędne środka okręgu to
Promień tego okręgu jest równy:
II sposób z przykładu 3.
Korzystając z pierwszego sposobu, wypisz liczby odpowiadające literom a, b i c, następnie oblicz wartość wyrażenia