W tym zadaniu musisz obliczyć wysokości równoległoboku, wiedząc, że jego boki zawierają się w prostych , , .
Rozwiązanie
Proste i są równoległe, ponieważ ich współczynniki kierunkowe są równe.
Proste i są równoległe, ponieważ ich współczynniki kierunkowe są równe.
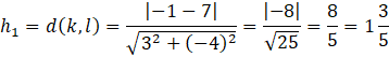
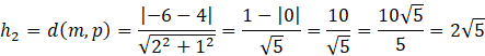
Jedną z wysokości jest odległość między prostymi i a drugą jest odległość między prostymi i :
Wyjaśnienie
Zapisz równania prostych w postaci kierunkowej, następnie zauważ, że proste i oraz i są równoległe. Wnioskując, wysokościami równoległoboku będą odległości pomiędzy równoległymi prostymi. Aby obliczyć te wysokości, skorzystaj ze wzorów: oraz .