Zadanie

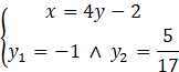
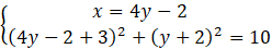
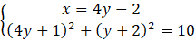
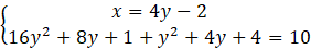
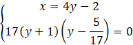
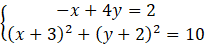
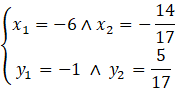
W tym zadaniu musisz wyznaczyć punkty , tak, że punkt należy do prostej , punkt należy do okręgu i środkiem odcinka jest punkt .

Rozwiązanie

Wyjaśnienie

Zadania z tego działu
Geometria analityczna
182
Pole trójkąta. Pole wielokąta
198