Zadanie

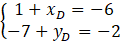
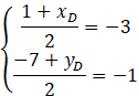
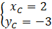
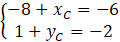
W tym zadaniu wyznaczyć punkty i wiedząc, że punkt jest punktem przecięcia przekątnych równoległoboku , i .

Rozwiązanie

Wyjaśnienie

Zadania z tego działu
Geometria analityczna
182
Pole trójkąta. Pole wielokąta
198