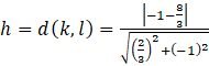
Wysokość trapezu wyznaczam jako odległość między równoległymi podstawami.
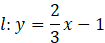
Prostą
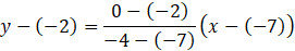
Prostą
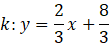
Proste
Obliczam odległość między prostymi, która jest równa wysokości trapezu:
Wysokość trapezu wyznacz jako odległość równoległych podstaw od siebie. Mając punkty A, B, C, D wyznacz równania prostych równoległych, a następnie korzystając ze wzoru na odległość między prostymi,