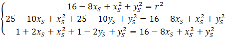
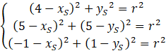
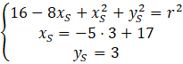
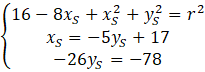
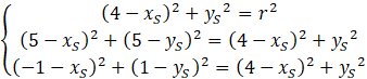
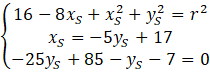
W tym zadaniu musisz wyznaczyć równanie okręgu, do którego należą punkty ,,.
Rozwiązanie
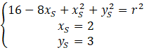
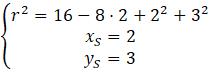
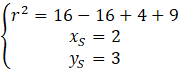
Równanie okręgu:
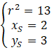
Równanie tego okręgu to:
Wyjaśnienie
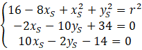
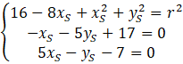
Równanie kanoniczne okręgu to . Rozwiąż układ równań z trzema równaniami, które powstają poprzez podstawienie współrzędnych punktów do równania wyżej. Na końcu, aby wyznaczyć równanie okręgu to do danego równania podstaw obliczone wartości.