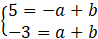
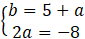
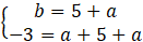
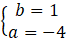
W tym zadaniu musisz wyznaczyć równanie kierunkowe prostej, do której należą punkty i .
Równanie kierunkowej tej prostej to:
Rozwiąż układ równań z dwoma równaniami, do których są podstawione współrzędne punktów, które leżą na tej prostej. Wyznacz równanie tej prostej.
Zadanie 1.
Podpunkt a)
Podpunkt b)
Zadanie 2.
Zadanie 3.
Zadanie 4.
Zadanie 5.
Zadanie 6.
Zadanie 7.
Zadanie 8.
Podpunkt c)
Zadanie 9.
Zadanie 10.
Zadanie 11.
Zadanie 12.
Zadanie 13.
Zadanie 14.
Zadanie 15.
Podpunkt d)
Zadanie 16.
Zadanie 17.
Zadanie 18.
Zadanie 19.
Zadanie 20.
Zadanie 21.
Zadanie 22.