Środek okręgu to
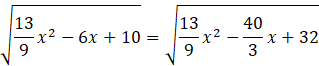
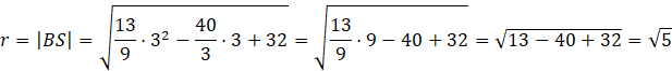
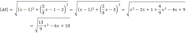
Punkty A i B należą do okręgu, a więc odległość AS i BS są sobie równe i są one równe promieniowi tego okręgu.
Zatem
Szukany okrąg jest opisany równaniem:
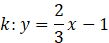
Mając dane dwa punkty należące do okręgu oraz prostą, która przechodzi przez środek okręgu, możesz zapisać współrzędne środka w dany sposób