Punkt C leży na osi OY, co oznacza, że ma on współrzędne
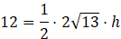
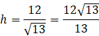
Pole trójkąta ABC zapisuję jako:
Wyznaczam równanie prostej
Obliczam wartość h:
Punkt C ma współrzędne
Aby obliczyć współrzędne punktu C, zapisz wzór na pole trójkąta ABC i oblicz z niego wartość h, obliczając wcześniej długość odcinka AB. Następnie zauważ, że rolę wysokości w tym trójkącie pełni odległość punktu C od prostej AB, a więc wyznacz tę odległość, a następnie przyrównaj do obliczonej wcześniej wysokości. Rozwiąż równanie z wartością bezwzględną i zapisz dwa rozwiązania.