W tym zadaniu musisz obliczyć pole trójkąta ABC, wiedząc, że .
Rozwiązanie
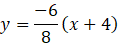
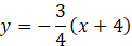
Wyznaczam równanie prostej , na której leżą punkty i:
Obliczam długość odcinka AB:
Obliczam odległość punktu C od prostej k:
Zatem
Wyjaśnienie
Pole trójkąta oblicz ze wzoru , zauważ, że wysokością jest odległość punktu C od prostej k, na której leżą punkty A i B. Wyznacz równanie prostej k, aby obliczyć odległość, która pełni rolę wysokości trójkąta oraz oblicz długość odcinka AB, który pełni rolę podstawy trójkąta. Podstaw dane do wzoru i oblicz pole.