W tym zadaniu musisz obliczyć, pod jakimi kątami są do siebie nachylone ściany boczne graniastosłupa, wiedząc, że wysokość graniastosłupa prostego trójkątnego ma długość 1, a dwie przekątne ścian bocznych poprowadzone z tego samego wierzchołka mają długość
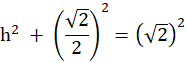
Z trójkąta BCD:
Z trójkątów ABD i ACD
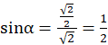
Niech E – punkt opuszczenia wysokości trójkąta ABC na bok BC. Dlatego kąt ABE jest równy kątowi ACE i wynosi
Zatem
Stąd wynika, że kąt BAC wynosi
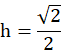
Z polecenia
Z trójkątów ABD i ACD
Ćwiczenie A.
98Ćwiczenie B.
99Ćwiczenie C.
99Zadanie 3.
101Zadanie 7.
102Zadanie 8.
102Zadanie 9.
102Zadanie 10.
103Zadanie 11.
103Zadanie 18.
105Zadanie 20.
105Zadanie 21.
105Zadanie 1.
108Zadanie 2.
108Zadanie 6.
109Ćwiczenie A.
110Ćwiczenie B.
112Ćwiczenie C.
112Ćwiczenie D.
113Zadanie 1.
115Zadanie 2.
115Zadanie 6.
116Zadanie 8.
116Zadanie 9.
116Zadanie 11.
116Zadanie 12.
117Zadanie 14.
117Zadanie 1.
120Zadanie 2.
120Zadanie 3.
120Zadanie 4.
120Zadanie 6.
121Zadanie 8.
121Zadanie 9.
121Zadanie 10.
121Ćwiczenie B
124Zadanie 1.
125Zadanie 2.
125Zadanie 3
125Zadanie 7.
126Zadanie 9.
126Zadanie 14.
127Zadanie 4.
128Zadanie 6.
128Zadanie 8.
128