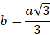
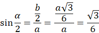
W tym zadaniu musisz obliczyć miary kątów między ścianami graniastosłupa prostego, którego podstawa jest trójkąt równoramienny, a kąty nachylenia przekątnych ścian bocznych do podstawy wynoszą
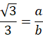
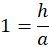
Oznacz jako a bok dwóch ramion trójkąta równoramiennego, jako h wysokość graniastosłupa oraz b – podstawa trójkąta równoramiennego. Z zależności trygonometrycznych oblicz wysokość graniastosłupa. Następnie z zależności trygonometrycznych oblicz podstawę trójkąta równoramiennego. Sinus połowy szukanego kąta to połowa podstawy do ramienia trójkąta równoramiennego.
Ćwiczenie A.
98Ćwiczenie B.
99Ćwiczenie C.
99Zadanie 3.
101Zadanie 7.
102Zadanie 8.
102Zadanie 9.
102Zadanie 10.
103Zadanie 11.
103Zadanie 18.
105Zadanie 20.
105Zadanie 21.
105Zadanie 1.
108Zadanie 2.
108Zadanie 6.
109Ćwiczenie A.
110Ćwiczenie B.
112Ćwiczenie C.
112Ćwiczenie D.
113Zadanie 1.
115Zadanie 2.
115Zadanie 6.
116Zadanie 8.
116Zadanie 9.
116Zadanie 11.
116Zadanie 12.
117Zadanie 14.
117Zadanie 1.
120Zadanie 2.
120Zadanie 3.
120Zadanie 4.
120Zadanie 6.
121Zadanie 8.
121Zadanie 9.
121Zadanie 10.
121Ćwiczenie B
124Zadanie 1.
125Zadanie 2.
125Zadanie 3
125Zadanie 7.
126Zadanie 9.
126Zadanie 14.
127Zadanie 4.
128Zadanie 6.
128Zadanie 8.
128