W tym zadaniu musisz określić jaką część stożka zajmuje ostrosłup wpisany w ten stożek.
2r średnia stożka
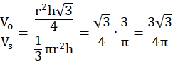
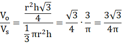
Objętość stożka:
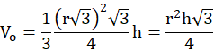
Objętość ostrosłupa:
Ostrosłup zajmuje
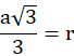
Podstawą ostrosłupa prawidłowego trójkątnego jest trójkąt równoboczny. Przyjmując 2r za średnicę stożka możesz określić długość boku trójkąta. Z własności trójkąta równobocznego wpisanego w okrąg można określić, że połowa średnicy okręgu jest równa
Objętość stożka:
Objętość ostrosłupa:
Ostrosłup zajmuje
Ćwiczenie A.
98Ćwiczenie B.
99Ćwiczenie C.
99Zadanie 3.
101Zadanie 7.
102Zadanie 8.
102Zadanie 9.
102Zadanie 10.
103Zadanie 11.
103Zadanie 18.
105Zadanie 20.
105Zadanie 21.
105Zadanie 1.
108Zadanie 2.
108Zadanie 6.
109Ćwiczenie A.
110Ćwiczenie B.
112Ćwiczenie C.
112Ćwiczenie D.
113Zadanie 1.
115Zadanie 2.
115Zadanie 6.
116Zadanie 8.
116Zadanie 9.
116Zadanie 11.
116Zadanie 12.
117Zadanie 14.
117Zadanie 1.
120Zadanie 2.
120Zadanie 3.
120Zadanie 4.
120Zadanie 6.
121Zadanie 8.
121Zadanie 9.
121Zadanie 10.
121Ćwiczenie B
124Zadanie 1.
125Zadanie 2.
125Zadanie 3
125Zadanie 7.
126Zadanie 9.
126Zadanie 14.
127Zadanie 4.
128Zadanie 6.
128Zadanie 8.
128