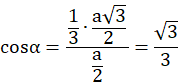
W tym zadaniu musisz obliczyć miary kąta nachylenia ściany bocznej do podstawy.
Wysokość podstawy to w trójkącie równobocznym to
Ćwiczenie A.
98Ćwiczenie B.
99Ćwiczenie C.
99Zadanie 3.
101Zadanie 7.
102Zadanie 8.
102Zadanie 9.
102Zadanie 10.
103Zadanie 11.
103Zadanie 18.
105Zadanie 20.
105Zadanie 21.
105Zadanie 1.
108Zadanie 2.
108Zadanie 6.
109Ćwiczenie A.
110Ćwiczenie B.
112Ćwiczenie C.
112Ćwiczenie D.
113Zadanie 1.
115Zadanie 2.
115Zadanie 6.
116Zadanie 8.
116Zadanie 9.
116Zadanie 11.
116Zadanie 12.
117Zadanie 14.
117Zadanie 1.
120Zadanie 2.
120Zadanie 3.
120Zadanie 4.
120Zadanie 6.
121Zadanie 8.
121Zadanie 9.
121Zadanie 10.
121Ćwiczenie B
124Zadanie 1.
125Zadanie 2.
125Zadanie 3
125Zadanie 7.
126Zadanie 9.
126Zadanie 14.
127Zadanie 4.
128Zadanie 6.
128Zadanie 8.
128