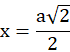
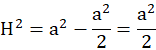
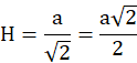
W tym zadaniu musisz obliczyć wysokość graniastosłupa, którego podstawą jest trójkąt równoramienny prostokątny, natomiast przeciwprostokątna podstawy i przekątne dwóch ścian bocznych tworzą trójkąt równoboczny o boku a.
Ścianą boczną jest prostokąt, w którym jedna przyprostokątna to wysokość H graniastosłupa, natomiast druga to x – przyprostokątna podstawy. Przekątna to a.
Przyjmij
Ćwiczenie A.
98Ćwiczenie B.
99Ćwiczenie C.
99Zadanie 3.
101Zadanie 7.
102Zadanie 8.
102Zadanie 9.
102Zadanie 10.
103Zadanie 11.
103Zadanie 18.
105Zadanie 20.
105Zadanie 21.
105Zadanie 1.
108Zadanie 2.
108Zadanie 6.
109Ćwiczenie A.
110Ćwiczenie B.
112Ćwiczenie C.
112Ćwiczenie D.
113Zadanie 1.
115Zadanie 2.
115Zadanie 6.
116Zadanie 8.
116Zadanie 9.
116Zadanie 11.
116Zadanie 12.
117Zadanie 14.
117Zadanie 1.
120Zadanie 2.
120Zadanie 3.
120Zadanie 4.
120Zadanie 6.
121Zadanie 8.
121Zadanie 9.
121Zadanie 10.
121Ćwiczenie B
124Zadanie 1.
125Zadanie 2.
125Zadanie 3
125Zadanie 7.
126Zadanie 9.
126Zadanie 14.
127Zadanie 4.
128Zadanie 6.
128Zadanie 8.
128