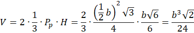
W tym zadaniu musisz obliczyć objętość bryły, której każdy z czworościanów ma krawędź o długości b.
Częścią wspólną jest ośmiościan foremny. Jego objętość to suma objętości dwóch czworościanów.
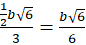
Bok ośmiościanu:
Wysokość połowy ośmiościanu:
Częścią wspólną jest ośmiościan foremny. Jego objętość to suma objętości dwóch czworościanów. Długość boku ośmiościanu to połowa długości dużego czworościanu, natomiast wysokość czworościanu, z którego składa się ośmiościan to
Ćwiczenie A.
98Ćwiczenie B.
99Ćwiczenie C.
99Zadanie 3.
101Zadanie 7.
102Zadanie 8.
102Zadanie 9.
102Zadanie 10.
103Zadanie 11.
103Zadanie 18.
105Zadanie 20.
105Zadanie 21.
105Zadanie 1.
108Zadanie 2.
108Zadanie 6.
109Ćwiczenie A.
110Ćwiczenie B.
112Ćwiczenie C.
112Ćwiczenie D.
113Zadanie 1.
115Zadanie 2.
115Zadanie 6.
116Zadanie 8.
116Zadanie 9.
116Zadanie 11.
116Zadanie 12.
117Zadanie 14.
117Zadanie 1.
120Zadanie 2.
120Zadanie 3.
120Zadanie 4.
120Zadanie 6.
121Zadanie 8.
121Zadanie 9.
121Zadanie 10.
121Ćwiczenie B
124Zadanie 1.
125Zadanie 2.
125Zadanie 3
125Zadanie 7.
126Zadanie 9.
126Zadanie 14.
127Zadanie 4.
128Zadanie 6.
128Zadanie 8.
128