W tym zadaniu musisz obliczyć miary kąta
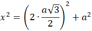
Zaznaczony trójkąt ma jeden bok równe dwukrotności boku podstawy graniastosłupa, natomiast drugi bok to przekątna ściany bocznej, czyli przekątna kwadratu o boku a. Oblicz trzeci bok trójkąta z twierdzenia Pitagorasa, gdzie przeciwprostokątną jest wysokość graniastosłupa, a przyprostokątne to dwukrotność wysokości podstawy oraz szukany bok. Wynik 2a oznacza, że zaznaczony trójkąt jest trójkątem równoramiennym o ramionach równych 2a oraz podstawie
Ćwiczenie A.
98Ćwiczenie B.
99Ćwiczenie C.
99Zadanie 3.
101Zadanie 7.
102Zadanie 8.
102Zadanie 9.
102Zadanie 10.
103Zadanie 11.
103Zadanie 18.
105Zadanie 20.
105Zadanie 21.
105Zadanie 1.
108Zadanie 2.
108Zadanie 6.
109Ćwiczenie A.
110Ćwiczenie B.
112Ćwiczenie C.
112Ćwiczenie D.
113Zadanie 1.
115Zadanie 2.
115Zadanie 6.
116Zadanie 8.
116Zadanie 9.
116Zadanie 11.
116Zadanie 12.
117Zadanie 14.
117Zadanie 1.
120Zadanie 2.
120Zadanie 3.
120Zadanie 4.
120Zadanie 6.
121Zadanie 8.
121Zadanie 9.
121Zadanie 10.
121Ćwiczenie B
124Zadanie 1.
125Zadanie 2.
125Zadanie 3
125Zadanie 7.
126Zadanie 9.
126Zadanie 14.
127Zadanie 4.
128Zadanie 6.
128Zadanie 8.
128