W tym zadaniu musisz określić jaką część stożka zajmuje ostrosłup wpisany w ten stożek.
średnica stożka – 2r
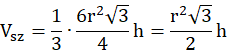
bok trójkąta jest równy połowie średnicy stożka, czyli r
Wysokość stożka jest taka sama jak wysokość ostrosłupa.
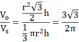
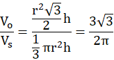
Objętość ostrosłupa:
Objętość stożka:
Ostrosłup zajmuje
Podstawą graniastosłupa prawidłowego sześciokątnego jest sześciokąt, którego przekątną jest średnica stożka 2r. Sześciokąt składa się z trójkątów równobocznych, gdzie bok tego trójkąta jest równy połowie średnicy stożka, czyli r. Wysokość stożka jest taka sama jak wysokość ostrosłupa.
Objętość ostrosłupa:
Objętość stożka:
Ostrosłup zajmuje
Ćwiczenie A.
98Ćwiczenie B.
99Ćwiczenie C.
99Zadanie 3.
101Zadanie 7.
102Zadanie 8.
102Zadanie 9.
102Zadanie 10.
103Zadanie 11.
103Zadanie 18.
105Zadanie 20.
105Zadanie 21.
105Zadanie 1.
108Zadanie 2.
108Zadanie 6.
109Ćwiczenie A.
110Ćwiczenie B.
112Ćwiczenie C.
112Ćwiczenie D.
113Zadanie 1.
115Zadanie 2.
115Zadanie 6.
116Zadanie 8.
116Zadanie 9.
116Zadanie 11.
116Zadanie 12.
117Zadanie 14.
117Zadanie 1.
120Zadanie 2.
120Zadanie 3.
120Zadanie 4.
120Zadanie 6.
121Zadanie 8.
121Zadanie 9.
121Zadanie 10.
121Ćwiczenie B
124Zadanie 1.
125Zadanie 2.
125Zadanie 3
125Zadanie 7.
126Zadanie 9.
126Zadanie 14.
127Zadanie 4.
128Zadanie 6.
128Zadanie 8.
128