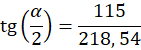
W tym zadaniu musisz ustalić jakim kątem jest kąt między przeciwległymi ścianami tego ostrosłupa piramidy Cheopsa.
Kąt ostry
Oblicz krawędź ostrosłupa z twierdzenia Pitagorasa, gdzie krawędź ostrosłupa to przeciwprostokątna a przyprostokątne to połowa przekątnej podstawy oraz wysokość ostrosłupa. Połowę szukanego kąta oblicz z zależności trygonometrycznych jako tangens kąta, czyli połowa podstawy do wysokości ostrosłupa.
Ćwiczenie A.
98Ćwiczenie B.
99Ćwiczenie C.
99Zadanie 3.
101Zadanie 7.
102Zadanie 8.
102Zadanie 9.
102Zadanie 10.
103Zadanie 11.
103Zadanie 18.
105Zadanie 20.
105Zadanie 21.
105Zadanie 1.
108Zadanie 2.
108Zadanie 6.
109Ćwiczenie A.
110Ćwiczenie B.
112Ćwiczenie C.
112Ćwiczenie D.
113Zadanie 1.
115Zadanie 2.
115Zadanie 6.
116Zadanie 8.
116Zadanie 9.
116Zadanie 11.
116Zadanie 12.
117Zadanie 14.
117Zadanie 1.
120Zadanie 2.
120Zadanie 3.
120Zadanie 4.
120Zadanie 6.
121Zadanie 8.
121Zadanie 9.
121Zadanie 10.
121Ćwiczenie B
124Zadanie 1.
125Zadanie 2.
125Zadanie 3
125Zadanie 7.
126Zadanie 9.
126Zadanie 14.
127Zadanie 4.
128Zadanie 6.
128Zadanie 8.
128