W tym zadaniu musisz obliczyć objętość brył, gdy pierwsza z brył przedstawionych na rysunku to ostrosłup ścięty o podstawach kwadratowych, a druga bryła to stożek ścięty.
Objętość większego stożka:
Objętość mniejszego stożka:
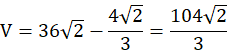
Objętość ściętego stożka:
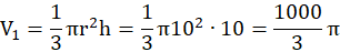
Objętość ostrosłupa większego:
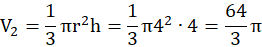
Objętość ostrosłupa mniejszego:
Objętość ściętego ostrosłupa:
Objętość ściętego stożka jest równa różnicy objętości dużego stożka i odciętego kawałka. Objętość ostrosłupa ściętego to różnica pomiędzy objętością dużego stożka o objętością odciętego kawałka. Objętość stożka to
Ćwiczenie A.
98Ćwiczenie B.
99Ćwiczenie C.
99Zadanie 3.
101Zadanie 7.
102Zadanie 8.
102Zadanie 9.
102Zadanie 10.
103Zadanie 11.
103Zadanie 18.
105Zadanie 20.
105Zadanie 21.
105Zadanie 1.
108Zadanie 2.
108Zadanie 6.
109Ćwiczenie A.
110Ćwiczenie B.
112Ćwiczenie C.
112Ćwiczenie D.
113Zadanie 1.
115Zadanie 2.
115Zadanie 6.
116Zadanie 8.
116Zadanie 9.
116Zadanie 11.
116Zadanie 12.
117Zadanie 14.
117Zadanie 1.
120Zadanie 2.
120Zadanie 3.
120Zadanie 4.
120Zadanie 6.
121Zadanie 8.
121Zadanie 9.
121Zadanie 10.
121Ćwiczenie B
124Zadanie 1.
125Zadanie 2.
125Zadanie 3
125Zadanie 7.
126Zadanie 9.
126Zadanie 14.
127Zadanie 4.
128Zadanie 6.
128Zadanie 8.
128