W tym zadaniu musisz obliczyć objętość i pól powierzchni otrzymanych brył.
Objętość całego sześcianu:
Pole całkowite sześcianu:
Krawędź płaszczyzny przecinającej sześcian:
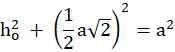
Wysokość ściany bocznej ostrosłupa:
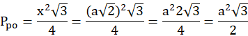
Pole podstawy ostrosłupa:
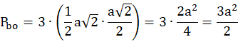
Pole boczne ostrosłupa:
Pole całkowite nowego ostrosłupa:
Wysokość podstawy ostrosłupa:
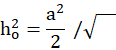
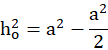
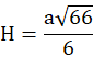
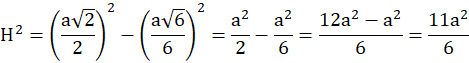
Wysokość ostrosłupa:
Objętość ostrosłupa:
Objętość całego sześcianu:
Ćwiczenie A.
98Ćwiczenie B.
99Ćwiczenie C.
99Zadanie 3.
101Zadanie 7.
102Zadanie 8.
102Zadanie 9.
102Zadanie 10.
103Zadanie 11.
103Zadanie 18.
105Zadanie 20.
105Zadanie 21.
105Zadanie 1.
108Zadanie 2.
108Zadanie 6.
109Ćwiczenie A.
110Ćwiczenie B.
112Ćwiczenie C.
112Ćwiczenie D.
113Zadanie 1.
115Zadanie 2.
115Zadanie 6.
116Zadanie 8.
116Zadanie 9.
116Zadanie 11.
116Zadanie 12.
117Zadanie 14.
117Zadanie 1.
120Zadanie 2.
120Zadanie 3.
120Zadanie 4.
120Zadanie 6.
121Zadanie 8.
121Zadanie 9.
121Zadanie 10.
121Ćwiczenie B
124Zadanie 1.
125Zadanie 2.
125Zadanie 3
125Zadanie 7.
126Zadanie 9.
126Zadanie 14.
127Zadanie 4.
128Zadanie 6.
128Zadanie 8.
128