W tym zadaniu musisz obliczyć promień kuli wpisanej w stożek o promieniu podstawy 6 i tworzącej o długości 10.
Skorzystaj z twierdzenia Pitagorasa dla trójkąta ABC:
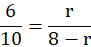
Trójkąty ABC i DEC są prostokątne i mają wspólny kąt o wierzchołku C, są więc podobne (cecha kąt-kąt). Zatem
Wykonaj szkic przekroju osiowego stożka z wpisaną kulą. Skorzystaj z twierdzenia Pitagorasa dla trójkąta ABC:
Ćwiczenie A.
98Ćwiczenie B.
99Ćwiczenie C.
99Zadanie 3.
101Zadanie 7.
102Zadanie 8.
102Zadanie 9.
102Zadanie 10.
103Zadanie 11.
103Zadanie 18.
105Zadanie 20.
105Zadanie 21.
105Zadanie 1.
108Zadanie 2.
108Zadanie 6.
109Ćwiczenie A.
110Ćwiczenie B.
112Ćwiczenie C.
112Ćwiczenie D.
113Zadanie 1.
115Zadanie 2.
115Zadanie 6.
116Zadanie 8.
116Zadanie 9.
116Zadanie 11.
116Zadanie 12.
117Zadanie 14.
117Zadanie 1.
120Zadanie 2.
120Zadanie 3.
120Zadanie 4.
120Zadanie 6.
121Zadanie 8.
121Zadanie 9.
121Zadanie 10.
121Ćwiczenie B
124Zadanie 1.
125Zadanie 2.
125Zadanie 3
125Zadanie 7.
126Zadanie 9.
126Zadanie 14.
127Zadanie 4.
128Zadanie 6.
128Zadanie 8.
128