W tym zadaniu musisz obliczyć objętość wyróżnionych ostrosłupów.
Bryła 1:
Bryła 2:
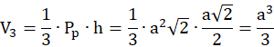
Bryła 3:
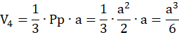
Bryła 4:
Objętość ostrosłupa jest obliczana jako
Bryła 1: Podstawą ostrosłupa jest kwadrat o boku a, natomiast wysokość jest równa wysokości sześcianu, czyli również a.
Bryła 2: Podstawą ostrosłupa jest bok sześcianu o długości a, natomiast jego wysokość to krawędź wspólna ścian bocznych utworzonych z trójkątów prostokątnych równoramiennych o przyprostokątnych równych a:
Bryła 3: Podstawą jest prostokąt o bokach
Bryła 4: Podstawą jest trójkąt prostokątny o bokach
Ćwiczenie A.
98Ćwiczenie B.
99Ćwiczenie C.
99Zadanie 3.
101Zadanie 7.
102Zadanie 8.
102Zadanie 9.
102Zadanie 10.
103Zadanie 11.
103Zadanie 18.
105Zadanie 20.
105Zadanie 21.
105Zadanie 1.
108Zadanie 2.
108Zadanie 6.
109Ćwiczenie A.
110Ćwiczenie B.
112Ćwiczenie C.
112Ćwiczenie D.
113Zadanie 1.
115Zadanie 2.
115Zadanie 6.
116Zadanie 8.
116Zadanie 9.
116Zadanie 11.
116Zadanie 12.
117Zadanie 14.
117Zadanie 1.
120Zadanie 2.
120Zadanie 3.
120Zadanie 4.
120Zadanie 6.
121Zadanie 8.
121Zadanie 9.
121Zadanie 10.
121Ćwiczenie B
124Zadanie 1.
125Zadanie 2.
125Zadanie 3
125Zadanie 7.
126Zadanie 9.
126Zadanie 14.
127Zadanie 4.
128Zadanie 6.
128Zadanie 8.
128