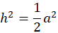
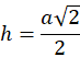
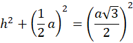
W tym zadaniu musisz określić czy model czworościanu foremnego o krawędzi 1 m można przenieść przez drzwi o szerokości 0, 8.
h – wysokość w trójkącie równoramiennym o ramionach równych wysokości czworościanu
Można przenieść ten czworościan.
Na podstawie odległości czworościanu od krawędzi futryny w taki sposób, że jedna z jego krawędzi jest równoległa do tej futryny uzyskujesz 0,71 cm, co oznacza, że możesz przenieść czworościan przez drzwi.
Ćwiczenie A.
98Ćwiczenie B.
99Ćwiczenie C.
99Zadanie 3.
101Zadanie 7.
102Zadanie 8.
102Zadanie 9.
102Zadanie 10.
103Zadanie 11.
103Zadanie 18.
105Zadanie 20.
105Zadanie 21.
105Zadanie 1.
108Zadanie 2.
108Zadanie 6.
109Ćwiczenie A.
110Ćwiczenie B.
112Ćwiczenie C.
112Ćwiczenie D.
113Zadanie 1.
115Zadanie 2.
115Zadanie 6.
116Zadanie 8.
116Zadanie 9.
116Zadanie 11.
116Zadanie 12.
117Zadanie 14.
117Zadanie 1.
120Zadanie 2.
120Zadanie 3.
120Zadanie 4.
120Zadanie 6.
121Zadanie 8.
121Zadanie 9.
121Zadanie 10.
121Ćwiczenie B
124Zadanie 1.
125Zadanie 2.
125Zadanie 3
125Zadanie 7.
126Zadanie 9.
126Zadanie 14.
127Zadanie 4.
128Zadanie 6.
128Zadanie 8.
128