W tym zadaniu musisz obliczyć objętość bryły przedstawionej na rysunku, wiedząc, że zacieniowany czworokąt jest kwadratem, natomiast literą b oznaczono sumę odległości wierzchołków ostrosłupów od płaszczyzny zawierającej ten kwadrat.
Wysokość ostrosłupa pierwszego:
Objętość ostrosłupa pierwszego:
Objętość prostopadłościanu pomiędzy ostrosłupami:
Wysokość ostrosłupa drugiego to
Objętość ostrosłupa drugiego:
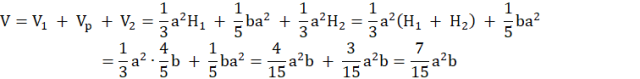
Objętość całej bryły:
Wzór na objętość ostrosłupa to
Ćwiczenie A.
98Ćwiczenie B.
99Ćwiczenie C.
99Zadanie 3.
101Zadanie 7.
102Zadanie 8.
102Zadanie 9.
102Zadanie 10.
103Zadanie 11.
103Zadanie 18.
105Zadanie 20.
105Zadanie 21.
105Zadanie 1.
108Zadanie 2.
108Zadanie 6.
109Ćwiczenie A.
110Ćwiczenie B.
112Ćwiczenie C.
112Ćwiczenie D.
113Zadanie 1.
115Zadanie 2.
115Zadanie 6.
116Zadanie 8.
116Zadanie 9.
116Zadanie 11.
116Zadanie 12.
117Zadanie 14.
117Zadanie 1.
120Zadanie 2.
120Zadanie 3.
120Zadanie 4.
120Zadanie 6.
121Zadanie 8.
121Zadanie 9.
121Zadanie 10.
121Ćwiczenie B
124Zadanie 1.
125Zadanie 2.
125Zadanie 3
125Zadanie 7.
126Zadanie 9.
126Zadanie 14.
127Zadanie 4.
128Zadanie 6.
128Zadanie 8.
128