W tym zadaniu musisz obliczyć stosunku pól przekrojów takich, że przez środki dwóch krawędzi sześcianu poprowadzono dwie płaszczyzny.
Przekrój 1: trapez
Przekrój 2: trójkąt
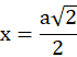
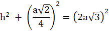
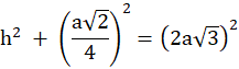
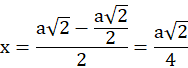
Oblicz boki trapezu z twierdzenia Pitagorasa. Trapez jest równoramienny, więc również z twierdzenia Pitagorasa możesz wyznaczyć jego wysokość. Następnie policz jego pole. Podobnie postąp z trójkątem. Stosunek tych pól to ich iloraz.
Ćwiczenie A.
98Ćwiczenie B.
99Ćwiczenie C.
99Zadanie 3.
101Zadanie 7.
102Zadanie 8.
102Zadanie 9.
102Zadanie 10.
103Zadanie 11.
103Zadanie 18.
105Zadanie 20.
105Zadanie 21.
105Zadanie 1.
108Zadanie 2.
108Zadanie 6.
109Ćwiczenie A.
110Ćwiczenie B.
112Ćwiczenie C.
112Ćwiczenie D.
113Zadanie 1.
115Zadanie 2.
115Zadanie 6.
116Zadanie 8.
116Zadanie 9.
116Zadanie 11.
116Zadanie 12.
117Zadanie 14.
117Zadanie 1.
120Zadanie 2.
120Zadanie 3.
120Zadanie 4.
120Zadanie 6.
121Zadanie 8.
121Zadanie 9.
121Zadanie 10.
121Ćwiczenie B
124Zadanie 1.
125Zadanie 2.
125Zadanie 3
125Zadanie 7.
126Zadanie 9.
126Zadanie 14.
127Zadanie 4.
128Zadanie 6.
128Zadanie 8.
128