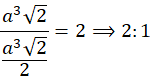
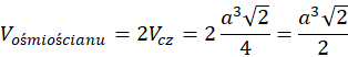
W tym zadaniu musisz obliczyć stosunku objętości czworościanu do objętości ośmiościanu, jeśli środki krawędzi czworościanu foremnego są wierzchołkami ośmiościanu foremnego.
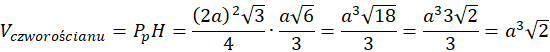
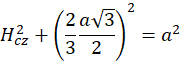
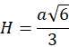
Załóżmy, że bok czworościanu ma bok długości 2a.
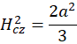
Wysokość czworościanu:
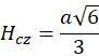
Długość boku ośmiościanu to a. Połowa ośmiościanu foremnego to czworościan foremny o długości boku a.
Stosunek:
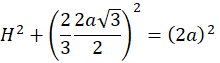
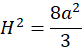
Załóż, że długość boku czworościanu foremnego, w który wpisano ośmiościan wynosi 2a. Oblicz wysokość tego czworościanu z twierdzenia Pitagorasa, gdzie przeciwprostokątną jest krawędź czworościanu a przyprostokątne to
Ćwiczenie A.
98Ćwiczenie B.
99Ćwiczenie C.
99Zadanie 3.
101Zadanie 7.
102Zadanie 8.
102Zadanie 9.
102Zadanie 10.
103Zadanie 11.
103Zadanie 18.
105Zadanie 20.
105Zadanie 21.
105Zadanie 1.
108Zadanie 2.
108Zadanie 6.
109Ćwiczenie A.
110Ćwiczenie B.
112Ćwiczenie C.
112Ćwiczenie D.
113Zadanie 1.
115Zadanie 2.
115Zadanie 6.
116Zadanie 8.
116Zadanie 9.
116Zadanie 11.
116Zadanie 12.
117Zadanie 14.
117Zadanie 1.
120Zadanie 2.
120Zadanie 3.
120Zadanie 4.
120Zadanie 6.
121Zadanie 8.
121Zadanie 9.
121Zadanie 10.
121Ćwiczenie B
124Zadanie 1.
125Zadanie 2.
125Zadanie 3
125Zadanie 7.
126Zadanie 9.
126Zadanie 14.
127Zadanie 4.
128Zadanie 6.
128Zadanie 8.
128