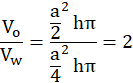
W tym zadaniu musisz obliczyć, ile razy większą objętość ma walec opisany na graniastosłupie prawidłowym czworokątnym od walca wpisanego w ten graniastosłup.
Objętość walca opisanego:
Objętość walca wpisanego:
Graniastosłup oraz walec mają tę samą wysokość H. Średnica walca wpisanego jest krawędzią podstawy graniastosłupa, natomiast przekątna podstawy graniastosłupa jest średnicą walca opisanego na graniastosłupie. Oznacz krawędź podstawy graniastosłupa jako a.
Ćwiczenie A.
98Ćwiczenie B.
99Ćwiczenie C.
99Zadanie 3.
101Zadanie 7.
102Zadanie 8.
102Zadanie 9.
102Zadanie 10.
103Zadanie 11.
103Zadanie 18.
105Zadanie 20.
105Zadanie 21.
105Zadanie 1.
108Zadanie 2.
108Zadanie 6.
109Ćwiczenie A.
110Ćwiczenie B.
112Ćwiczenie C.
112Ćwiczenie D.
113Zadanie 1.
115Zadanie 2.
115Zadanie 6.
116Zadanie 8.
116Zadanie 9.
116Zadanie 11.
116Zadanie 12.
117Zadanie 14.
117Zadanie 1.
120Zadanie 2.
120Zadanie 3.
120Zadanie 4.
120Zadanie 6.
121Zadanie 8.
121Zadanie 9.
121Zadanie 10.
121Ćwiczenie B
124Zadanie 1.
125Zadanie 2.
125Zadanie 3
125Zadanie 7.
126Zadanie 9.
126Zadanie 14.
127Zadanie 4.
128Zadanie 6.
128Zadanie 8.
128