Zadanie

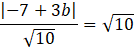
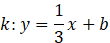
W tym zadaniu musisz wyznaczyć równanie prostej, która jest prostopadła do prostej l: 3x + y - 2 = 0 i leży w odległości od punktu P(-1, 2).

Rozwiązanie

Wyjaśnienie

Zadania z tego działu
Geometria analityczna
182
Pole trójkąta. Pole wielokąta
198