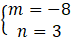
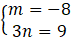
W tym zadaniu musisz obliczyć liczby i , dla których wektory oraz są równe.
Przyrównaj współrzędne wektorów do siebie i oblicz m i n.
Zadanie 1.
Podpunkt a)
Podpunkt b)
Zadanie 2.
Zadanie 3.
Zadanie 4.
Zadanie 5.
Zadanie 6.
Zadanie 7.
Zadanie 8.
Podpunkt c)
Zadanie 9.
Zadanie 10.
Zadanie 11.
Zadanie 12.
Zadanie 13.
Zadanie 14.
Zadanie 15.
Podpunkt d)
Zadanie 16.
Zadanie 17.
Zadanie 18.
Zadanie 19.
Zadanie 20.
Zadanie 21.
Zadanie 22.