W tym zadaniu musisz odpowiedzieć wraz z uzasadnieniem czy dane równanie jest równaniem okręgu.
Rozwiązanie
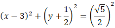
To równanie jest równaniem okręgu o środku w punkcie i promieniu .
Wyjaśnienie
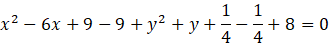
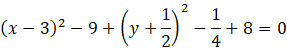
Spróbuj zapisać to równanie w postaci kanonicznej, aby zauważyć czy równanie jest równaniem okręgu. To równanie opisuje okrąg o środku w punkcie i promieniu .