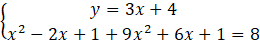
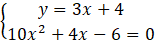
Rozwiązuje równanie kwadratowe:
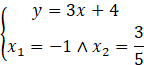
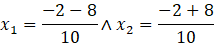
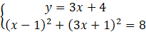
Wracając do układu równań:
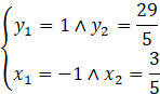
Punkty wspólne mają współrzędne
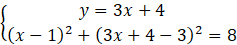
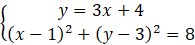
Aby wyznaczyć punkty wspólne, rozwiąż układ równań z dwoma danymi równaniami. Powstałe rozwiązania zapisz jako współrzędne punktów.