Czworokąt ABCD będzie prostokątem gdy:
Wyznaczam równanie prostej AB:
Równanie prostej AB:
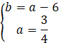
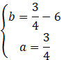
Wyznaczam równanie prostej BC:
Równanie prostej BC:
Iloczyn współczynników prostych AB i BC jest równy -1, a więc te proste są prostopadłe.
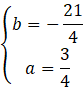
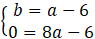
Wyznaczam równanie prostej CD:
Równanie prostej CD:
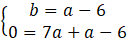
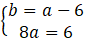
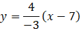
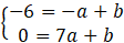
Wyznaczam równanie prostej AD:
Równanie prostej AD:
Iloczyn współczynników prostych CD i AD jest równy -1, a więc te proste są prostopadłe.
A więc czworokąt ABCD jest prostokątem.
Mając współrzędne punktów, wyznacz równania kierunkowe prostych, a następnie zauważ, że iloczyn współczynników sąsiednich prostych, jest równy -1, co oznacza, że proste są prostopadłe.