Próbuję wykazać, że przekształcenie
Dowolne punkty
Punkty
Oznacza to, że przekształcenie
Co należało dowieść.
Dowód wykonany według przykładu w podręczniku – musisz wykazać, że odległość między dwoma punktami płaszczyzny jest taka sama, jak odległość pomiędzy obrazami tychże punktów w przekształceniu P:
1. Skoro
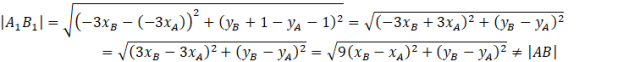
2. Musisz znaleźć obrazki A1 i B1 w przekształceniu P, a następnie wyznacz długość odcinka A1B1:
3. Otrzymane punkty A1 i B1 podstawiasz do wzoru:
4. Skoro