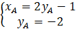
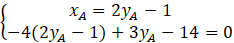
Obliczam współrzędne wierzchołków
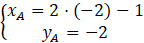
Wierzchołek
Współrzędne punktu
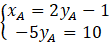
Wierzchołek
Współrzędne punktu
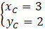
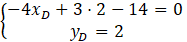
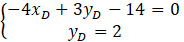
Wierzchołek
Współrzędne punktu
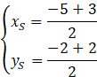
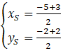
Przekątna AC ma środek w punkcie
Współrzędne punktu
Długość przekątnej
Zatem
Najpierw mając trzy równania prostych, wyznacz punkty A, C i D. Następnie wyznacz współrzędne środka odcinka AC: