Zadanie

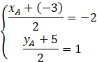
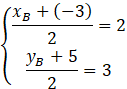
W tym zadaniu obliczyć współrzędne punktów i wiedząc, że w trójkącie punkty i są odpowiednio środkami boków i oraz , , .

Rozwiązanie

Wyjaśnienie

Zadania z tego działu
Geometria analityczna
182
Pole trójkąta. Pole wielokąta
198