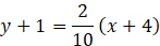
Wyznaczam równanie prostej AB:
Długość odcinka AB:
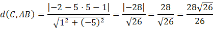
Odległość punktu C do prostej AB jest wysokością tego trójkąta.
Obliczam pole:
Wyznacz równanie prostej AB i oblicz odległość punktu C od tej prostej, ta odległość jest wysokością trójkąta. Wyznacz długość odcinka Ab, który jest podstawą trójkąta. Oblicz pole.