Środek okręgu ma współrzędne
Równanie okręgu ma postać:
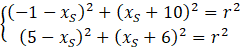
Rozwiązuję układ równań, korzystając ze współrzędnych punktów A i B.
Zatem
Współrzędne środka okręgu to:
Równanie tego okręgu jest postaci:
Wyznacz współrzędne punktu S, korzystając z równania prostej, na której ten punkt leży. Następnie rozwiąż układ równań z dwoma równaniami okręgu z podstawionymi współrzędnymi punktów A i B. Wyznacz