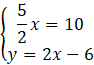
Zamieniam z postaci ogólnej na kierunkową:
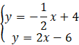
Wyznaczam równanie prostej
Prosta
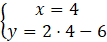
Obliczam
Równanie prostej
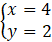
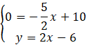
Wyznaczam współrzędne punktu
Punkt
Odległość między punktami P i S to:
Odległość punktu P od prostej k jest równa
Najpierw wyznacz równanie prostej l, skorzystaj z własności prostopadłości oraz z punktu P. Następnie ułóż układ równań, z dwoma równaniami prostych i oblicz współrzędne punktu S. Odległością punktu P od prostej k jest długość odcinka PS, oblicz ją korzystając ze wzoru