Zadanie

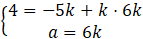
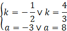
W tym zadaniu musisz obliczyć wiedząc, że i oraz wektory i są równoległe.

Rozwiązanie

Wyjaśnienie

Zadania z tego działu
Geometria analityczna
182
Pole trójkąta. Pole wielokąta
198