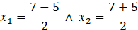
Obliczam współrzędne punktów wspólnych prostej
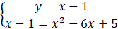
Rozwiązuje równanie kwadratowe:
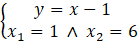
Wracając do układu równań:
Punkty wspólne prostej
Środek okręgu ma współrzędne
Punkty A i B należą do okręgu, a więc odległości punktów od środka są równe długości promienia tego okręgu.
Współrzędne środka to
Równanie tego okręgu to:
Najpierw oblicz współrzędne punktów wspólnych prostej