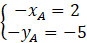
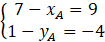
W tym zadaniu musisz obliczyć współrzędne punktu , wiedząc, że , gdzie oraz punkt .
Najpierw oblicz współrzędne wektora AB, a następnie rozpisz go na różnicę współrzędnych punktów. Oblicz współrzędne punktu A.
Zadanie 1.
Podpunkt a)
Podpunkt b)
Zadanie 2.
Zadanie 3.
Zadanie 4.
Zadanie 5.
Zadanie 6.
Zadanie 7.
Zadanie 8.
Podpunkt c)
Zadanie 9.
Zadanie 10.
Zadanie 11.
Zadanie 12.
Zadanie 13.
Zadanie 14.
Zadanie 15.
Podpunkt d)
Zadanie 16.
Zadanie 17.
Zadanie 18.
Zadanie 19.
Zadanie 20.
Zadanie 21.
Zadanie 22.