Przekątne rombu przecinają się w jednym punkcie, ten punkt będzie środkiem okręgu.
Obliczam współrzędne tego punktu:
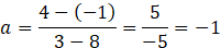
Punkt S jest środkiem odcinka AC.
Zatem współrzędne środka tego okręgu to
Promieniem szukanego okręgu jest połowa odległości między bokami tego rombu.
Wyznaczam równanie prostej AB:
Równanie prostej AB:
Wyznaczam równanie prostej CD:
Równanie prostej CD:
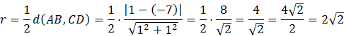
Promień okręgu, czyli połowa odległości pomiędzy tymi prostymi wynosi:
Równanie tego okręgu to:
Najpierw zauważ, że środkiem tego okręgu będzie punkt przecięcia się przekątnych. Następnie wyznacz współrzędne tego punktu. Promień szukanego okręgu możesz obliczyć jako połowa odległości między bokami w rombie. Wyznacz równanie tego okręgu.