W tym zadaniu musisz obliczyć pole równoległoboku ABCD, wiedząc, że .
Rozwiązanie
Wyznaczam równanie prostej , która prowadzi przez punkty i:
Obliczam długość odcinka AB:
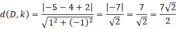
Obliczam odległość punktu D od prostej k:
Zatem
Wyjaśnienie
Pole równoległoboku oblicz ze wzoru , zauważ, że wysokością jest odległość punktu D od prostej k, na której leżą punkty A i B. Wyznacz równanie prostej k, aby obliczyć odległość, która pełni rolę wysokości równoległoboku oraz oblicz długość odcinka AB, który pełni rolę podstawy równoległoboku. Podstaw dane do wzoru i oblicz pole.