Wyznaczam współczynnik kierunkowy prostej prostopadłej do stycznej:
A więc współczynnik kierunkowy stycznej jest równy
Styczna jest postaci:
Korzystając z punktu
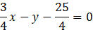
Równanie stycznej to:
Poprawną odpowiedzią jest odp. C.
Aby wyznaczyć prostą styczną do okręgu, musisz wyznaczyć współczynnik prostej przechodzącej przez środek okręgu, tak aby iloczyn ich współczynników kierunkowych był równy -1. Współczynnik stycznej wynosi