W tym zadaniu musisz określić ilość wielokątów które są foremne i których miara kąta wewnętrznego mieści się w przedziale od 150° do 170°.
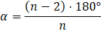
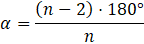
Gdzie α jest kątem wewnętrznym n-kąta foremnego.
Odpowiedź: A. 23.
Aby rozwiązać to zadanie musisz skorzystać ze wzoru na miarę kąta wewnętrznego w n-kącie foremnym. Wzór ten ma postać:
Gdzie α jest kątem wewnętrznym n-kąta foremnego. Musisz określić dla jakich n otrzymany kąt mieści się w przedziale z treści zadania. Możesz to zapisać jako:
Podstawiając za α zapisany wcześniej wzór otrzymasz:
Ten ciąg nierówności możesz robić na dwie osobne nierówności połączone koniunkcją (spójnikiem „i”, gdyż obie muszą zachodzić na raz)
Warto rozwiązać je osobno, a następnie wziąć ich część wspólną.
Mnożąc obustronnie przez zmienną w nierówności trzeba zachować szczególną ostrożność, gdyż jeśli zmienna ma wartość ujemną to zmieni ona znak nierówności. Jednakże n, czyli ilość kątów n-kąta foremnego nie może być liczbą ujemną (co więcej to liczba naturalna) więc w tym przypadku dozwolone jest przemnożenie obu stron przez n.
Podobnie jak wcześniej, mnożąc obustronnie przez zmienną w nierówności trzeba zachować szczególną ostrożność, gdyż jeśli zmienna ma wartość ujemną to zmieni ona znak nierówności. Jednakże n, czyli ilość kątów n-kąta foremnego nie może być liczbą ujemną (co więcej to liczba naturalna) więc w tym przypadku dozwolone jest przemnożenie obu stron przez n.
Teraz weź część wspólną obu rozwiązań.
Podliczając, ile jest n-ów które spełniają te warunki otrzymasz, że jest ich 23.
Zadanie 16.
89Zadanie 17.
90Zadanie 18.
90Zadanie 25.
98Zadanie 27.
98Zadanie 16.
103Zadanie 17.
103Zadanie 19.
103Zadanie 14.
111Zadanie 13.
114Zadanie 14.
114Zadanie 21.
131Zadanie 23.
137Zadanie 28.
138Zadanie 20.
142Zadanie 23.
148