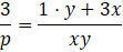
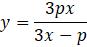
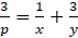
W tym zadaniu musisz ustalić która z podanych równości została wyprowadzona ze wzoru
Odpowiedź: A.
Najpierw musisz ustalić dla jakich wartości zmiennych w mianownikach ułamków nie pojawi się zero będzie to dla p≠0, x≠0 oraz y≠0. Gdy to zrobisz możesz przejść do wyprowadzania wzoru. Zauważ, że we wszystkich odpowiedziach wzór został przekształcony ze względu na y. Dlatego będziesz przekształcał właśnie ze względu na zmienną y. Aby to zrobić sprowadź sumę ułamków do wspólnego mianownika tak by otrzymać jeden ułamek.
Gdy już to zrobisz otrzymasz równanie, gdzie po obu stronach masz po jednym ułamku. W takim równaniu obie strony możesz przemnożyć „na krzyż”.
Następnie przerzuć wszystkie wyrazy zawierające y na jedną stronę.
W kolejnym kroku wyciągasz y przed nawias.
Aby otrzymać samego y, wystarczy podzielić obustronnie przez drugi nawias. Jednak pamiętaj, że nie można dzielić przez 0, dlatego należy wykluczyć przypadek, gdy nawias się zeruje.
Zadanie 16.
89Zadanie 17.
90Zadanie 18.
90Zadanie 25.
98Zadanie 27.
98Zadanie 16.
103Zadanie 17.
103Zadanie 19.
103Zadanie 14.
111Zadanie 13.
114Zadanie 14.
114Zadanie 21.
131Zadanie 23.
137Zadanie 28.
138Zadanie 20.
142Zadanie 23.
148