W tym zadaniu musisz wyznaczyć jakie współrzędne będzie miał środek ciężkości trójkąta wyznaczonego przez wierzchołki A = (0, 0), B = (8, 0) oraz C = (0, 4).
Środek ciężkości to punkt przecięcia się środkowych trójkąta.
Niech proste zawierające dane boki nazywają się od punktów przez które przechodzą.
s1 – prosta zawierająca środkową wychodząca z boku AB
Środkowa to odcinek łączący środek boku z przeciwległym punktem
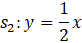
s2 – prosta zawierająca środkową wychodząca z boku BC
Skoro środek ciężkości to punkt przecięcia się środkowych trójkąta, to będzie to także punkt przecięcia się prostych które zawierają te środkowe, a więc prostych s1 i s2.
Więc współrzędne środka ciężkości tego trójkąta to:
Przypomnij sobie czym jest środek ciężkości trójkąta. Jest to punkt przecięcia się środkowych trójkąta, czyli odcinków łączących środki boków z przeciwległymi wierzchołkami. Środek ciężkości trójkąta będzie także punktem przecięcia się prostych zawierających środkowe. Zauważ, że nie potrzebujesz wyznaczać wszystkich trzech prostych zawierających środkowe trójkąta, a wystarczy, że znajdziesz dwie z nich i punkt ich przecięcia.
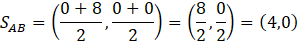
Aby wyznaczyć równania prostych zawierające środkowe rozważanego trójkąta musisz najpierw wyznaczyć środki boków tego trójkąta, a następnie równania prostych przechodzących przez ten środek i przeciwległy wierzchołek.
Proste które zawierają dane boki nazwij od punktów przez które przechodzą.
Aby obliczyć środek boku, skorzystaj ze wzoru na środek odcinka łączącego dwa punkty.
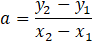
Prosta s1 zawierająca środkową wychodzącą z boku AB, przechodzi przez punkty SAB oraz C. Więc jej współczynnik kierunkowy możesz wyliczyć, ze wzoru na współczynnik kierunkowy prostej przechodzącej przez punkty (x1, y1) oraz (x2, y2).
Podstawiając odpowiednio współrzędne SAB i C otrzymasz wynik:
Pamiętaj, że co prawda kolejność uwzględnianych punktów jest dowolna, ale musi być taka sama dla x-ów i y-ów. Więc jeśli przyjmiesz, że punktem o współrzędnych (x2, y2) jest punkt SAB, to musisz konsekwentnie podstawiać za y2 i x2 współrzędne punktu SAB.
Równanie prostej s1 możesz na chwilę obecną zapisać jako:
Prosta s1 przechodzi, przez punkty SAB oraz C, więc podstawiając do równania kierunkowego prostej s1 za x pierwszą współrzędną któregoś z tych punktów, powinieneś otrzymać w wyniku drugą współrzędną. W tym przypadku wybrano punkt SAB
Więc prosta s1 zawierająca środkową wychodzącą z boku AB wyraża się wzorem:
Analogicznie postępujesz dla prostej zawierającej środkową wychodzącą z boku BC.
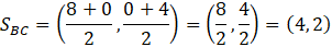
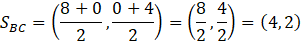
Aby obliczyć środek boku, skorzystaj ze wzoru na środek odcinka łączącego dwa punkty.
Prosta s2 zawierająca środkową wychodzącą z boku BC, przechodzi przez punkty SBC oraz A. Więc jej współczynnik kierunkowy możesz wyliczyć, ze wzoru na współczynnik kierunkowy prostej przechodzącej przez punkty (x1, y1) oraz (x2, y2).
Podstawiając odpowiednio współrzędne SBC i A otrzymasz wynik:
Pamiętaj, że co prawda kolejność uwzględnianych punktów jest dowolna, ale musi być taka sama dla x-ów i y-ów. Więc jeśli przyjmiesz, że punktem o współrzędnych (x2, y2) jest punkt A, to musisz konsekwentnie podstawiać za y2 i x2 współrzędne punktu A.
Równanie prostej s2 możesz na chwilę obecną zapisać jako:
Prosta s2 przechodzi, przez punkty SBC oraz A, więc podstawiając do równania kierunkowego prostej s2 za x pierwszą współrzędną któregoś z tych punktów, powinieneś otrzymać w wyniku drugą współrzędną. W tym przypadku wybrany został punkt A.
Więc prosta s2 zawierająca środkową wychodzącą z boku BC wyraża się wzorem:
Środek ciężkości trójkąta to będzie punkt przecięcia się prostych s1 i s2. Aby obliczyć współrzędne tego punktu przyrównaj równania obu prostych do siebie (gdyż proste osiągają wtedy taką samą wartość).
Aby pozbyć się ułamków przemnóż obie strony przez wspólny mianownik, czyli 2.
Aby obliczyć drugą współrzędną środka ciężkości podstaw otrzymany wynik do dowolnego równania prostej zawierającej wysokość.
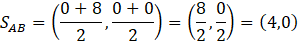
Więc współrzędne środka ciężkości tego trójkąta to:
Zadanie 16.
89Zadanie 17.
90Zadanie 18.
90Zadanie 25.
98Zadanie 27.
98Zadanie 16.
103Zadanie 17.
103Zadanie 19.
103Zadanie 14.
111Zadanie 13.
114Zadanie 14.
114Zadanie 21.
131Zadanie 23.
137Zadanie 28.
138Zadanie 20.
142Zadanie 23.
148